Course Study with CSC321
[2021.05.15]
Topic : Lecture 13.5: Object Detection Faster R-CNN part2 (Hayden, James)
Notes :
- https://drive.google.com/file/d/1UdzLboCNc1Sda4ns83RVS-ar-JhcVCZl/view?usp=sharing [Hayden]
- https://drive.google.com/file/d/1OhM4QieuKMh_Nlv5WkWv0iZ4-MXBV_IK/view?usp=sharing [James]
Links :
- https://herbwood.tistory.com/10 (Training RPN details, KR)
- https://www.telesens.co/2018/03/11/object-detection-and-classification-using-r-cnns/ (Training RPN details, EN)
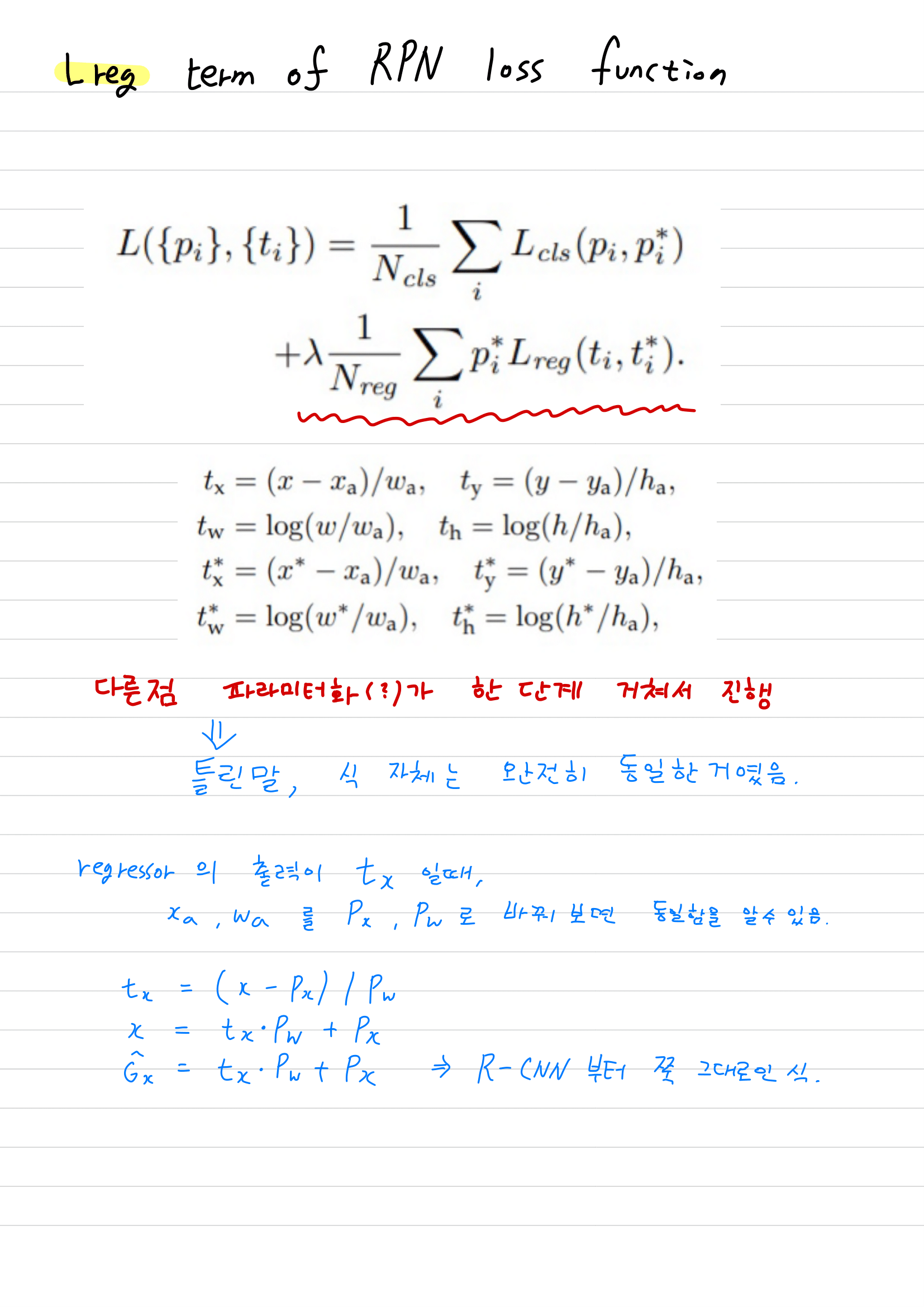
- https://nuggy875.tistory.com/33 (Lreg term of RPN loss)
- https://ganghee-lee.tistory.com/37 (4-step alternating trainging of Faster R-CNN)
- https://ratsgo.github.io/deep%20learning/2017/04/05/CNNbackprop/ (remind of back-prop of maxpool layer)
스터디 RULE 수정
- 월/화 : 순서 변경이 필요한 팀원의 경우 화요일 저녁 전까지 다른 팀원에게 요청.
- 수: 해당 주 담당 팀원은 진행 정도 및 별도 준비가 필요한 부분을 James에게 전달.
Covered through study
Part 2
Loss
- what loss function is defined on RPN?
Train
- how to train RPN?
- How RPN and Detector share feature maps?
- alternating training?
- Implementation details
- 가능한 정도만
- used scales, anchor types
+ multibox approach (pyramids of filters)
+ understanding regression loss of RPN
Faster R-CNN part 2










